1 前言
2对2机器人足球比赛规则经过几次调整,基本达到强调机器人足球比赛中的技术而不是一味比拼速度和力量的目的,加强了对参赛学生能力的考核,对机器人足球的正常发展是有益的。
2 比赛场地和足球
2.1 机器人足球赛台的球场区长1220mm、宽1830mm,球场四周有宽度为220mm的白色边界区。边界区四周有宽80mm的坡面,四周为高150mm、厚18mm的档板。边界区及坡面均刷白色亚光漆,档板刷黑色亚光漆。赛台尺寸如图1所示。赛台用木工板制成。

图1 比赛场地(mm)
2.2 赛台中央的木质底板上覆盖一层喷绘的背胶场地纸。绿色球场及白色边界区应水平和平整。
2.3 赛台应放置在约600mm高的架子上。
2.4 球门内宽为450mm,深度为80mm。每个球门在距地面140mm处有一横梁。球门内有高度为80mm的后壁。球门内侧涂成天蓝色,地面为白色。球门外侧面应涂成亚光黑色。球门用厚度不超过12mm的木板制成。
2.5 场上有六个发球点和一个开球点,图2中用白点表示,但在场地纸上并未标记。
图2 发球点、开球点和罚球区
2.6 参赛队必须根据场馆的照明和磁场条件调整机器人。比赛组织者将尽力保持较低的照度,并使赛场远离磁场(比如,地板下的布线和金属物体)。但是,建议各参赛队应设法让自己的机器人能适应各种照明和磁场干扰情况,并能应对场地表面大约5mm高的轻微起伏。
2.7 比赛采用能发射红外线的直径70~75mm的电子球。每场开赛前,裁判都要检查足球是否损坏。本届竞赛用球为日本EK公司制造的RoboSoccer RCJ-05足球,使用抗于扰力较强的调制模式。参赛队必须控制机器人的动力,否则,损坏足球后可能会根据规则5.7.2和6.7被罚出场或取消比赛资格。
3 机器人
3.1 机器人必须是经参赛队员启动后能够自动运行的机器人,禁止使用任何遥控方式。为了策略或备份的需要,每支参赛队可携带三台机器人参赛,但在同一场比赛中只能使用两台机器人且不能更换。
3.2 参加本届比赛的机器人限用竞赛组委会指定的厂家的机器人套材。只要有可能,也允许以上器材混用,允许自制机器人。
3.3 机器人必须能自由纳入内径为220mm的开口圆筒中,重量不得超过2.5kg。
3.4 机器人带球的控球区定义为机器人身上的任何突出部位形成的内部空间,控球区的深度不得超过30mm,如图3所示。
图3 控球区示意图
3.5 机器人的程序编写应由参赛队员自己完成。禁止使用未经充分修改的由商业成品或培训机构提供的程序。学生必须能证明他们自己对程序有充分的了解。
3.6机器人使用组委会提供的6节1.5V专用干电池,电池盒必须位于机器人的上方或侧方,盒盖应便于开启或透明。除此干电池外,严禁在机器人上使用其它电池或储电装置,机器人的结构必须便于裁判员检查。不得使用DC/DC等升压装置对电机供电。在机器人中对任何器件的供电电压不得超过9V。在一场(两个半场及可能的加时)比赛中不得更换电池。
3.7 机器人部件可以使用胶水、螺钉等永久固定。
3.8 机器人的击球装置允许使用气动部件,允许使用多个气瓶,但总容积不得超过550ml,压力不得超过0.8MPa;进入比赛区后及在两个半场间不得以任何方式对气瓶充气,不得更换气瓶;击球装置与足球接触的部位必须有软质缓冲材料;只要击坏电子足球或使对方机器人的电池或任何部件脱落,该机器人便不能继续参赛。
3.9 参赛机器人须有个性化装饰或标记,以便识别同属一个参赛队的机器人。
3.10 机器人的颜色、光发射器和光电传感器不得影响其它机器人的光传感器。
3.11 比赛时,进攻机器人不得损坏场上的足球。否则该机器人便要被罚暂时出场,并当作“损坏的机器人”处理。参赛队员在裁判的允许下,可对该机器人做出适当调整以避免再次出现类似情况。如果该机器人再次损坏足球,将被取消比赛资格。对于有能力损坏规则2.7中规定的足球的机器人,裁判有权禁止它参赛。
3.12 守门员机器人不得只做单向或左右移动,它必须能朝各个方向移动,特别是以前冲方式运动。守门员应具备前行到离球门450mm的发球区去拦截球的能力。如果守门员对来球没有任何反应,将被视为“损坏的机器人”。
3.13 机器人在进入白色边界区后应该有能力自行回到绿色球场区。
4 参赛队
4.1 每支参赛队由2名学生队员和1名教练组成。学生必须是2015年6月前在校的学生。
4.2 比赛时只允许两名学生队员进入竞赛区(包括准备区和比赛区),教练不得进入竞赛区。
4.3 在通常情况下,不允许参赛队员任意移动机器人。每场比赛前,参赛队应指派一名队员担任队长,在规则允许范围内或在裁判员的指示下负责拿走、移动、重新放置机器人。
4.4 参赛队员应熟知比赛的有关规定,所有活动及行为必须遵循规则,服从赛场工作人员的指示。
5 比赛
5.1 赛制
本届机器人足球比赛按小学、初中、高中三个组别分别进行资格赛、初赛和复赛。
资格赛为规定动作赛,不进行两队的对抗。各参赛队单独在场上完成若干规定的动作,按动作完成的质量积分。
按资格赛的总积分确定24支出线的参赛队。如果出现积分并列,按删除一项最低得分动作的总得分确定先后,如果仍然并列,再删除一项最低得分动作确定先后。
初赛为小组循环赛。资格赛出线的24支参赛队按图4分为8组。
图4 初赛分组
以A组为例,循环赛的对阵如表1所示。
表1 A组对阵表
| 场次 | 红队 | 蓝队 |
| 1 | A1 | A3 |
| 2 | A2 | A1 |
| 3 | A3 | A2 |
胜方积3分,负方积0分;如果平局,双方各积1分。循环赛结束后,以各队的积分排定组内名次。如果积分并列,进球总数多的队在先;如果进球总数相同,净胜球总数多的队在先。
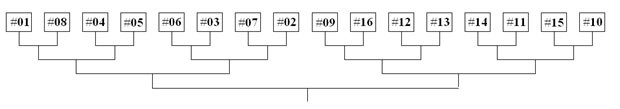
以小组第一名出线的8支参赛队(A至D组编号为#01至#04,E至H组编号为#09至#12)及从各小组第二名出线的8支参赛队(A至D组编号为#05至#08,E至H组编号为#13至#16)晋级复赛。
复赛为淘汰赛,决出冠、亚、季军(并列)。淘汰赛的对阵见图5。图中,列在左边的为红队。

图5 复赛对阵图
复赛中如果出现平局,该场比赛将加时,直至某一队有1个有效进球,该队即为获胜队。若加时3分钟后双方均无进球,则在两个半场及加时赛中离场总次数少的队获胜;如双方离场次数仍相同,则机器人总重量轻的队获胜。
组委会有可能根据参赛报名和报到情况变更初赛和复赛赛制,如有变化,将在初赛开始前公布。
5.2 赛前准备
5.2.1 参赛队按比赛时间表提前半小时检录进入准备区,在准备区调试机器人(60分钟)。参赛队应自带便携式计算机并可携带维修用的备件。参赛队员在进入准备区前应将自己的手机、无线路由器、无线网卡等通信设备及U盘、光盘等存储介质交本队的教练员或家长保管。
5.2.2 参赛机器人应在准备区接受尺寸和重量的检查。被检查的机器人应直立,任何突出部分应充分展开。如果机器人某个可动部件能伸展,该机器人必须在运行状态下接受检查。裁判员将逐个测量机器人的重量和尺寸。
5.2.3 允许在限定时间内对不合格的机器人加以调整,调整时间不得超过20分钟且不能影响正式比赛的安排。如果修改后的机器人仍不符合要求,将取消比赛资格。
5.2.4 比赛期间机器人若有修改,必须再次接受检查。
5.2.5 参赛队在准备区中将会领到资格赛的规定动作及记分方法,然后,用自带的计算机编制完成动作的程序。
5.2.6 参赛队员在赛场内不得以任何方式与本队的教练员或家长联系。
5.3 进入比赛区
5.3.1根据赛程的安排,参赛队应于开赛前3分钟在引导员带领下进入比赛区候场。进入比赛区前,领取专用电池并进行必要的检测。资格赛时,参赛队可能多次进入比赛区,但只领取一次电池。
5.3.2 参赛队迟到延误比赛,将被判犯规并视情节根据规则6.5予以处罚。
5.3.3 裁判员鸣笛前,参赛队有时间进行必要的调整,调整时间一般不超过2分钟,特殊情况下由裁判员酌定。
5.4 比赛
规定动作赛的具体做法将在参赛队进入比赛区后,当场宣布。本节只对初赛和复赛做出规定。
比赛开始前,红方挑边,蓝方先开球。下半场交换场地后,红方先开球。
5.4.1 开球
5.4.1.1 每个半场比赛开始时或进球后,均须开球。开球时,所有机器人必须位于自己的半场并停止不动。球由裁判员放在场地中央的开球点。不开球的机器人必须有某一部分在本队罚球区(含上方)内;开球的机器人可以被放置在球的附近,距球至少50mm,以保证它在裁判员鸣笛后最先接触到电子足球。裁判员可以要求参赛队员调整机器人的摆放位置。双方的机器人一旦摆放完成,就不得再移动。
5.4.1.2 裁判员鸣笛开球后,如果开球方的机器人由于各种原因没有先于对方接触到电子足球,也视为有效的开球。
5.4.1.3 裁判员鸣笛后,所有机器人由参赛队员启动。在裁判哨声响起前,抢先启动机器人将被裁判员警告,如再次抢先启动,机器人将被移出场地30秒。
5.4.1.4开球的机器人必须对球有一次清晰的撞击。没有踢球装置的机器人必须明显地释放足球,不得连续地推动足球。
5.4.1.5 开球的一方不得一脚将球直接踢入对方球门内。开球方第一次击球后,若球未触及任何一方机器人或球门框,直接进入球门,则判定为“一脚球”。如果开球方第一次击球后,此球在直接进入防守方的球门前,如果已经撞到防守方机器人,则认为防守方已经做出有效拦截,将不判做“一脚球”;开球方明显的两次以上(含两次)的击球而使球进入对方球门,即使球没有触及任何一方机器人或球门框,也不视为“一脚球”。
5.4.1.6 发生“一脚球”后,裁判员应鸣笛示意,同时宣布进球无效,随后将球放到离该球门最近的发球点,让比赛继续进行。
5.4.2 持球
5.4.2.1 比赛中,机器人不得“持球”。持球的意思是通过堵死球的去路而实现完全控球的动作。如,把球固定在机器人身上,或使用机器人身体的任何部分将球包围,或设法圈住球来阻止其它机器人触球,或机器人移动时球停止滚动,等等,均被认定为“持球”。
5.4.2.2 允许机器人使用旋转盘装置带球。带球时球深入的距离应符合3.4的规定,且带球过程中球必须始终滚动。
5.4.2.3 机器人不能将球压在身下,比赛中的任何时段都必须看得见球,且其它机器人能接触到球。
5.4.3 进球
5.4.3.1 整个足球完全越过球门线,自由滚入球门且碰撞球门后壁即判为进球,裁判将鸣笛示意。
5.4.3.2 如果攻守双方机器人将球抵于彼此之间,攻方机器人依靠自身力量的优势,将防守方机器人和球一起推到球门内,且在此过程中,球始终没有获得自由;或进攻方机器人在半场以外控球后,在球始终未获自由且始终未碰撞到防守机器人的情况下,机器人携球冲入球门,均被视为“挤入球”。
5.4.3.3 发生“挤入球”后,裁判员应鸣笛示意,同时宣布进球无效,随后将球放到最近的发球点,让比赛继续进行。
5.4.3.4 如果朝着球门行进的球撞上防守机器人,而该机器人有某一部分位于球门线上方且在球门区内,则进攻队获一进球。
5.4.3.5 判定进球后,裁判应鸣笛示意,进球方即得到一分。此后由失球方重新开球。
5.4.3.6 将球踢进自己的球门,即使球是被“挤入”球门的,将被视为“乌龙球”,对方得到一分。
5.4.3.7 球出界后由坡面滚回,如未与任何机器人接触就进入球门,不视为有效进球。裁判员应将球放在开球点。
5.4.4 损坏足球或场地
5.4.4.1 如果机器人损坏了足球或场地,它将被移出场地,并作为损坏的机器人至少离场30秒后才能返回赛场。此后,该机器人将被贴上黄色标签,裁判将在记分表上记录这次犯规。如果足球因机器人击球力量过大而出现裂纹甚至开裂,机器人将被永久移出场地且不能参加后续的比赛。
5.4.4.2 如果两个相撞的机器人损坏了足球使其不能继续使用,它们便要移出赛场,并贴上黄色标签。如果裁判认为其中一个机器人比另一个机器人具有更明显的破坏性,可让此机器人退出该场比赛。
5.4.4.3 对上述机器人必须做出调整,以防止再次出现类似情况。如果机器人在比赛中再次违规,将被取消比赛资格。
5.4.5 没有进展
5.4.5.1 如果球被多个机器人夹住(“强制”状态)一段时间(例如,10秒钟)而无法自由运动,或者任何机器人在一段时间内均未找到此球,这就是“没有进展”。
5.4.5.2 出现“没有进展”后,球将移到最近的发球点。如果这种情况再次发生,球将被移到球场中央。
5.4.5.3 发生“没有进展”后,裁判可稍稍移动机器人,让其恢复自由。应裁判的要求,也可由参赛队长移动。
5.4.6 损坏的机器人
5.4.6.1 不运动且对球没有反应的机器人,将被裁判视为损坏的机器人。
5.4.6.2 如果机器人停留在白色边界区,且没有回到比赛区域的迹象,将被裁判视为损坏的机器人。因对方机器人的强力冲撞而撞上档板的机器人不算是损坏的机器人。
5.4.6.3 裁判或参赛队员可以将损坏的机器人从场地上移走。损坏的机器人必须离场至少30秒,电池耗尽的机器人不能再返回场地。
5.4.6.4 经裁判同意后,损坏的机器人(含其它原因被移出场地的机器人)可以返回与自己的球门最近的发球点。守门员可以返回到球门前的区域。
5.4.6.5 在损坏的机器人离场、修复和更换期间,比赛继续进行。注意:如果因为与对方机器人发生碰撞造成损坏,裁判可以选择中断比赛。
5.4.6.7 如果机器人自己翻倒,将被视为损坏的机器人并移离赛场;如因与另一个机器人碰撞导致翻倒,则由裁判扶正并继续比赛。
5.4.7 界外球
5.4.7.1 球一脱离比赛区域,即为“出界”。如果该球由于坡面的作用自行回到球场区,则裁判员对此界外球不予处理。
5.4.7.2 如果球停在白色边界区,且在5秒钟内双方机器人均未与之接触,它将被移到最近且对踢球出界一方不利的发球点,这个发球点可能是离出界方球门最近的发球点,也可能是离非出界方机器人最近的发球点。
5.4.8 多人防守
5.4.8.1 如果防守方的两个机器人均进入无球的罚球区,且严重影响比赛,即为“多人防守”。
5.4.8.2 发生多人防守情况时,非守门员机器人将被移至离自己球门最近的发球点。
5.4.9 比赛中断和暂停
5.4.9.1比赛进行中,如果出现球被多个机器人夹住、出现“挤入球”、“没有进展”、20秒内无任何机器人触球、“损坏的机器人”和“界外球”等情况,均可引起比赛中断,一般的处置是把球移到一个最近的发球点,继续比赛。
5.4.9.2 发生比赛中断情况,裁判鸣笛,但计时不停。一旦中断比赛,参赛队员应立刻停止所有机器人的活动并将机器人拿回鸣笛时自己机器人所在的位置。
5.4.9.3 中断后,由裁判鸣笛恢复比赛,所有机器人同时启动。
5.4.9.4 为了修复场地,或机器人因对方的碰撞或犯规动作而损坏,或是裁判需要阐明规则,裁判可以叫“裁判暂停”。如果暂停时间较长,裁判可选择停止计时。
5.4.10 比赛结束
5.4.10.1 每场比赛时间为10分钟,分上下半场,每半场比赛的时间为5分钟,两半场间休息2分钟。
5.4.10.2 裁判员吹响终场哨音后,参赛队员除应立即关断机器人的电源外,不得与场上的机器人或任何物品接触。
5.4.10.3 裁判员填写记分表。参赛队员应确认自己的得分,并立即将自己的机器人搬回准备区。
6 犯规和取消比赛资格
6.1 如果机器人利用某种装置或某个动作连续攻击或冲撞并不控球的对方机器人,裁判将判其犯规。犯规方队长应将该机器人移出场地至少30秒,并进行纠正,比赛仍继续进行。
6.2 如果该机器人继续犯规,将罚其永久出场并贴上黄色标签,裁判将在记分表上记录这次犯规。
6.3 如果一个机器人在两场比赛中因犯规被罚永久出场,它将失去参加后续场次比赛的资格。
6.4 参赛队员干扰比赛进行,或裁判的裁决,将受到黄牌警告;若纠缠不止,则给予红牌并取消该队的比赛资格。
6.5 参赛队每迟到一分钟被判罚1个进球,迟到5分种按自动弃权论处,另一队以5:0获胜。
6.6 任何不尊重裁判、不服从裁决的行为,将给予黄牌警告,若纠缠不止,则给予红牌并取消其比赛资格。
6.7 任何严重违背公平竞争精神的行为(例如,故意干扰并再三损坏其它机器人,损坏比赛场地或足球,采用不符合规定的机器人等等)将被取消比赛资格。
6.8 参赛队员在未经裁判长允许的情况下私自与教练员或家长联系,将被取消比赛资格。
7 奖励
复赛后对进入复赛和取得资格赛前三名的参赛队排序。
1. 1~4名为复赛后冠、亚、季军(并列)的4支参赛队。
2. 接着是资格赛中取得第一至第三名并进入复赛但未获得冠、亚、季军(并列)的参赛队。
3. 此后是8进4比赛中淘汰的4支参赛队,进球数多的队在前,如两队进球数相同,则净输球少的队在前。
4. 再往后是16进8比赛中淘汰的4支参赛队,进球数多的队在前,如两队进球数相同,则净输球少的队在前。
5. 最后,接排资格赛中取得第一至第三名且未进入复赛的参赛队(如果有的话)。
排名前六的参赛队获得一等奖,颁发金牌和证书,冠军队颁发奖杯。除获得一等奖的参赛队外,复赛后排名的其它参赛队获二等奖(可能多于12支),颁发银牌和证书。未通过资格赛和小组循环赛未出线(获得资格赛前三名的参赛队除外)的参赛队获三等奖,颁发铜牌和证书。资格赛的第三名,如果没有获得一、二等奖,上调为二等奖。
8其它
8.1 本规则是实施裁判工作的依据。在竞赛中,裁判有裁定权,他们的裁决是最终裁决。裁判不会复查重放的比赛录像。关于裁判的任何问题必须由一名学生代表在两场比赛之间向裁判长提出。组委会不接受教练员或家长的投诉。
8.2关于比赛规则的任何修订,将在中国青少年机器人教育在线网站(http://robot.xiaoxiaotong.org/)中的Q&A栏目以“重要通知”的形式发布,关于规则的问题可通过该栏目提出。
8.3 比赛期间,凡是规则中未予说明的事项由裁判委员会决定。竞赛组委会委托裁判委员会对此规则进行解释与修改。在大多数参赛队伍同意的前提下,针对特殊情况(例如一些无法预料的问题和/或机器人的性能问题等),规则可作特殊修改。
附录1
附录2